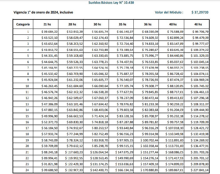
La nueva escala entró en vigencia desde el 1° de enero inclusive, de acuerdo a la Ley 10.430.
El Gobierno bonaerense oficializó las escalas de los sueldos de los trabajadores estatales tras la suba por decreto del 25% que otorgó.
Según se informó el martes pasado, 15 puntos corresponden al cierre de la paritaria 2023 y los 10 restantes se dan en concepto de adelanto de negociaciones 2024.
De esta manera Kicillof cerró la primera paritaria del año sin el acuerdo de las organizaciones gremiales, que pedían un incremento superior que equipare la suba de los sueldos con la de los precios, que se dispararon fuerte después de la devaluación que dispuso el ministro de Economía, Luis Caputo, en el primer paquete de medidas económicas del gobierno de Javier Milei.
La nueva escala entró en vigencia desde el 1° de enero inclusive, de acuerdo a la Ley 10.430. Según expresaron desde el ministerio de Hacienda, que conduce Pablo López, el valor del módulo es de $ 37,29720.
De acuerdo al esquema que comunicó la Provincia, un trabajador de la categoría 1 con 21 horas semanales, tendrá un salario mínimo de $ 39.684,22. En esa misma categoría, pero con 48 horas en su puesto laboral, percibirá un sueldo mínimo de $ 90.706,79.
A su vez, la categoría más alta es la 24. Con 21 horas laborales en la semana, el salario mínimo asciende a $ 99.680,50.
En ese sentido, el escalafón más alto de salarios básicos se encuentra en esta categoría y serán beneficiarios quienes permanezcan por 48 horas en su puesto laboral. La remuneración asciende a $ 227.841,14.






